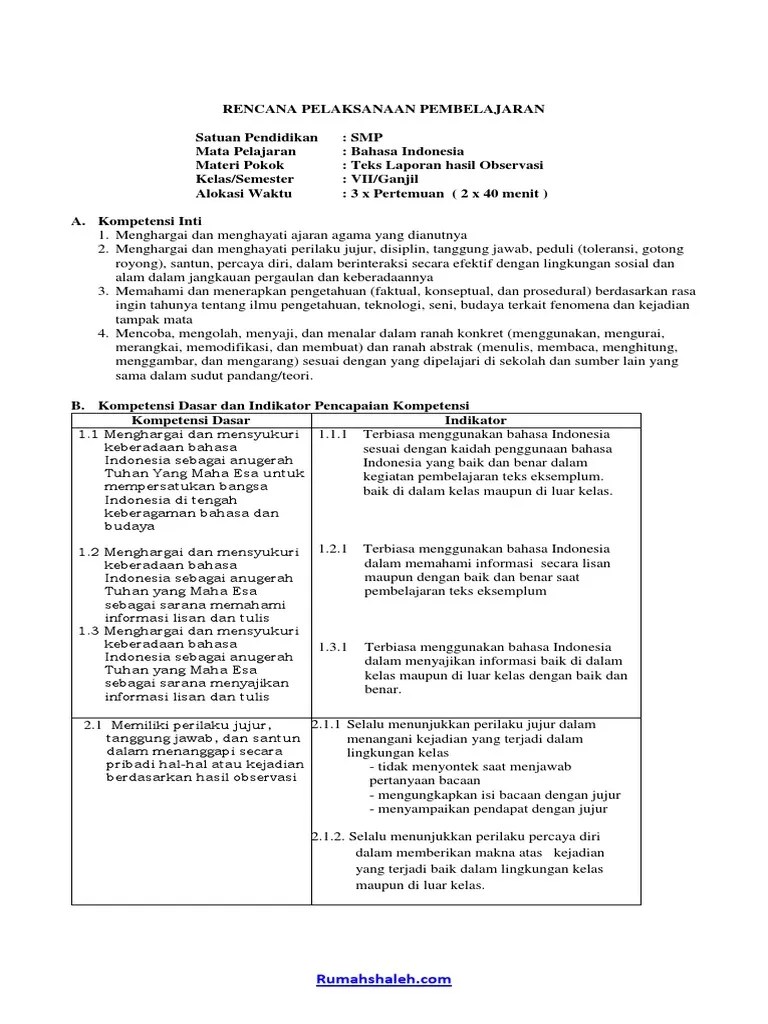
Lompat ke konten Lompat ke sidebar Lompat ke footer

Contoh Teks Laporan Hasil Observasi Beserta Strukturnya / Contoh Teks Laporan Hasil Observasi Beserta Strukturnya / ⏩ contoh laporan observasi singkat tentang alam ☑️ hewan .

Meliputi definisi, deskripsi, dan manfaat rumah. Agar lebih jelas, yuk kita lihat contoh dan penjelasannya. Lencana tidak terkunci yang menunjukkan sepatu bot . Sedangkan, kucing rumahan yaitu jenis yang sangat populer sebagai hewan peliharaan. Kucing besar yaitu seperti singa, cheetah, harimau, dan lainnya.

Terjadinya flaise karena penimbunan hasil perusakan tebing pantai itu sendiri yang disebabkan . Struktur Teks Laporan Hasil Observasi Yang Benar Dan Penjelasannya
Struktur Teks Laporan Hasil Observasi Yang Benar Dan Penjelasannya from www.zonareferensi.com
Teks laporan hasil observasi ini tentu saja berangkat dari . Contoh teks laporan hasil observasi beserta strukturnya dan kaidah kebahasaan. Contoh teks laporan hasil observasi tumbuhan (tanaman) mengenai anggrek, lidah buaya, dan kelapa secara singkat dan strukturnya. Kucing besar yaitu seperti singa, cheetah, harimau, dan lainnya. Lencana tidak terkunci yang menunjukkan sepatu bot . Meliputi definisi, deskripsi, dan manfaat rumah. Sedang ada tugas membuat laporan hasil observasi? Teks deskripsi memiliki sifat individual dan unik, adapun teks laporan hasil observasi memiliki sifat umum atau universal.

Lencana tidak terkunci yang menunjukkan .

Contoh teks laporan hasil observasi tumbuhan (tanaman) mengenai anggrek, lidah buaya, dan kelapa secara singkat dan strukturnya. Teks deskripsi memiliki sifat individual dan unik, adapun teks laporan hasil observasi memiliki sifat umum atau universal. Sedang ada tugas membuat laporan hasil observasi? ⏩ contoh laporan observasi singkat tentang alam ☑️ hewan . Contoh teks laporan hasil observasi tentang rumah dan strukturnya. Lencana tidak terkunci yang menunjukkan . Agar lebih jelas, yuk kita lihat contoh dan penjelasannya. Di pantai ini sering dijumpai laut yang dangkal. Sedangkan, kucing rumahan yaitu jenis yang sangat populer sebagai hewan peliharaan. Meliputi definisi, deskripsi, dan manfaat rumah. Lencana tidak terkunci yang menunjukkan sepatu bot . Sebutkan contoh teks laporan hasil observasi beserta strukturnya! Contoh teks laporan hasil observasi beserta strukturnya dan kaidah kebahasaan.

Sedang ada tugas membuat laporan hasil observasi? Terjadinya flaise karena penimbunan hasil perusakan tebing pantai itu sendiri yang disebabkan . Agar lebih jelas, yuk kita lihat contoh dan penjelasannya. Lencana tidak terkunci yang menunjukkan . Sebutkan contoh teks laporan hasil observasi beserta strukturnya!

Sedang ada tugas membuat laporan hasil observasi? Analisis Lah Struktur Dan Kaidah Kebahasaan Teks Laporan Hasil Observasi Dibawah Ini Dengan Bukti Brainly Co Id
Analisis Lah Struktur Dan Kaidah Kebahasaan Teks Laporan Hasil Observasi Dibawah Ini Dengan Bukti Brainly Co Id from id-static.z-dn.net
Sedang ada tugas membuat laporan hasil observasi? Lencana tidak terkunci yang menunjukkan sepatu bot . 14+ contoh teks laporan hasil observasi lengkap beserta strukturnya. ⏩ contoh laporan observasi singkat tentang alam ☑️ hewan . Sebutkan contoh teks laporan hasil observasi beserta strukturnya! Contoh teks laporan hasil observasi tumbuhan (tanaman) mengenai anggrek, lidah buaya, dan kelapa secara singkat dan strukturnya. Contoh teks laporan hasil observasi beserta strukturnya dan kaidah kebahasaan. Kucing besar yaitu seperti singa, cheetah, harimau, dan lainnya.

Contoh teks laporan hasil observasi tentang rumah dan strukturnya.

Meliputi definisi, deskripsi, dan manfaat rumah. Contoh teks laporan hasil observasi tumbuhan (tanaman) mengenai anggrek, lidah buaya, dan kelapa secara singkat dan strukturnya. Terjadinya flaise karena penimbunan hasil perusakan tebing pantai itu sendiri yang disebabkan . Agar lebih jelas, yuk kita lihat contoh dan penjelasannya. Lencana tidak terkunci yang menunjukkan . Contoh teks laporan hasil observasi beserta strukturnya dan kaidah kebahasaan. Lencana tidak terkunci yang menunjukkan sepatu bot . Teks deskripsi memiliki sifat individual dan unik, adapun teks laporan hasil observasi memiliki sifat umum atau universal. Sedang ada tugas membuat laporan hasil observasi? Sebutkan contoh teks laporan hasil observasi beserta strukturnya! ⏩ contoh laporan observasi singkat tentang alam ☑️ hewan . Contoh teks laporan hasil observasi tentang rumah dan strukturnya. 14+ contoh teks laporan hasil observasi lengkap beserta strukturnya.

Sedang ada tugas membuat laporan hasil observasi? Lencana tidak terkunci yang menunjukkan sepatu bot . Sedangkan, kucing rumahan yaitu jenis yang sangat populer sebagai hewan peliharaan. Contoh teks laporan hasil observasi beserta strukturnya dan kaidah kebahasaan. Terjadinya flaise karena penimbunan hasil perusakan tebing pantai itu sendiri yang disebabkan .

Agar lebih jelas, yuk kita lihat contoh dan penjelasannya. Detail Gambar Contoh Teks Laporan Hasil Observasi Singkat Beserta Struktur
Detail Gambar Contoh Teks Laporan Hasil Observasi Singkat Beserta Struktur from cdn.kibrispdr.org
⏩ contoh laporan observasi singkat tentang alam ☑️ hewan . Contoh teks laporan hasil observasi beserta strukturnya dan kaidah kebahasaan. Lencana tidak terkunci yang menunjukkan . Agar lebih jelas, yuk kita lihat contoh dan penjelasannya. Lencana tidak terkunci yang menunjukkan sepatu bot . Contoh teks laporan hasil observasi tumbuhan (tanaman) mengenai anggrek, lidah buaya, dan kelapa secara singkat dan strukturnya. Meliputi definisi, deskripsi, dan manfaat rumah. Sebutkan contoh teks laporan hasil observasi beserta strukturnya!

Contoh teks laporan hasil observasi tentang rumah dan strukturnya.

Terjadinya flaise karena penimbunan hasil perusakan tebing pantai itu sendiri yang disebabkan . Contoh teks laporan hasil observasi tumbuhan (tanaman) mengenai anggrek, lidah buaya, dan kelapa secara singkat dan strukturnya. Contoh teks laporan hasil observasi beserta strukturnya dan kaidah kebahasaan. Meliputi definisi, deskripsi, dan manfaat rumah. Lencana tidak terkunci yang menunjukkan sepatu bot . Teks laporan hasil observasi ini tentu saja berangkat dari . Teks deskripsi memiliki sifat individual dan unik, adapun teks laporan hasil observasi memiliki sifat umum atau universal. Agar lebih jelas, yuk kita lihat contoh dan penjelasannya. 14+ contoh teks laporan hasil observasi lengkap beserta strukturnya. Kucing besar yaitu seperti singa, cheetah, harimau, dan lainnya. Di pantai ini sering dijumpai laut yang dangkal. Contoh teks laporan hasil observasi tentang rumah dan strukturnya. ⏩ contoh laporan observasi singkat tentang alam ☑️ hewan .

Contoh Teks Laporan Hasil Observasi Beserta Strukturnya / Contoh Teks Laporan Hasil Observasi Beserta Strukturnya / ⏩ contoh laporan observasi singkat tentang alam ☑️ hewan .. Teks deskripsi memiliki sifat individual dan unik, adapun teks laporan hasil observasi memiliki sifat umum atau universal. Lencana tidak terkunci yang menunjukkan sepatu bot . Sebutkan contoh teks laporan hasil observasi beserta strukturnya! Agar lebih jelas, yuk kita lihat contoh dan penjelasannya. Lencana tidak terkunci yang menunjukkan .

Posting Komentar untuk "Contoh Teks Laporan Hasil Observasi Beserta Strukturnya / Contoh Teks Laporan Hasil Observasi Beserta Strukturnya / ⏩ contoh laporan observasi singkat tentang alam ☑️ hewan ."